学院2017、2018、2019级本科生:
根据《大连理工大学莱斯特国际学院学生奖励办法(试行)》(附件2)规定,现启动2019-2020学年莱斯特国际学院学生奖励申报工作,请符合申报条件的学生集体和个人按照要求申报,申报者需在12月11日(周五)下午17:00前提交附件1《大连理工大学莱斯特国际学院学生奖励申请表》的纸质版至学院学生工作办公室(C07-202),请同学们把握时间节点,逾期无效。
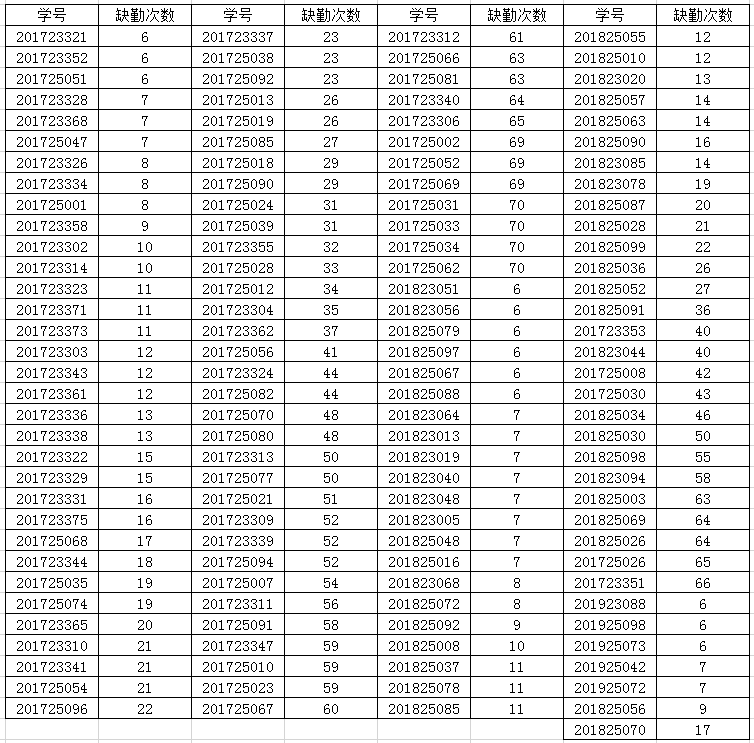
2019-2020学年秋季学期晨读晨练无故缺勤5次以上者,取消参评资格。具体名单请见下图,如有异议,请于12月8日(本周一)16:00前到C07-202复议,逾期无效。

莱斯特国际学院学生工作办公室
2020年12月5日