为了方便莱斯特国际学院2021级本科生,申请2023-2024学年各高校夏令营,现将莱斯特国际学院2021级本科生前五个学期成绩排名进行公示。具体成绩计算说明及复议方式如下:
一、学习成绩计算
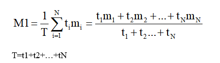
学习成绩计算(M1)按四舍五入的方法保留到小数点后两位,具体计算方法为:

其中M1:学习成绩;T:纳入计算的课程总学分;N:纳入计算的课程的门数;m:课程成绩;t:课程学分。
二、有关课程选择和成绩要求如下:
(一)基于《大连理工大学推荐优秀应届本科毕业生免试攻读研究生工作实施办法》,学生计算夏令营学生成绩排名时,纳入计算的课程为学生大一学年、大二学年和大三学年第一学期学年修读的所有必修课、专业选修课。
(二)学生已选修的全部专业选修课(如专业选修课程要求6学分,学生选修了8学分的选修课,那么8学分的选修课全部纳入计算),均纳入成绩计算范围。
(三)通识类课程、创新创业与个性发展课程、第二课堂选修课组课程、已通过或不通过记录成绩的课程不纳入成绩计算范围。
(四)所有课程的成绩均以一考成绩计算。
(五)转专业学生第一学年第一学期的课程按原所在专业必修课计算。
三、时间安排
4月3日公示复议后夏令营成绩排名,联系老师:徐连杰。各专业成绩排名公示详见附件(供夏令营活动使用)。
大连理工大学莱斯特国际学院
2024年4月3日